THE EAGLE OWL

Penteriani V.

  • L0029054
  • L0029054
  • Editorial: T & AD Poyser Ltd.
  • ISBN: 9781472900661
  • Año de publicación: 2019
  • Páginas: 304
  • Idioma: Inglés
  • Tipo de encuadernación: Tapa dura
  • Tamaño: 234 x 156 mm
  • Peso: 1016 g.
87,00€ 87,00€ IVA incluido
  • Escribir una valoración
Comparte
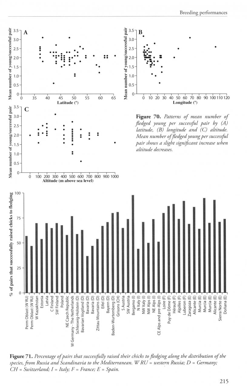
El trabajo definitivo sobre el búho más grande y espectacular de Europa. El búho real, conocido más evocativamente como Uhu en alemán, en referencia a su inquietante ulular nocturno, es una rapaz enorme e impresionante. Uno de los búhos más grandes del mundo, es un feroz cazador de aves y mamíferos hasta el tamaño de zorros y pequeños venados. Al ser un superdepredador, su ecología es fascinante. Esta monografía de Poyser analiza la distribución, la ecología de alimentación, la migración, el comportamiento reproductivo, los problemas de conservación y la dinámica de la población de esta espectacular especie, a través de su vasta distribución euroasiática. Los autores, Vincenzo Penteriani y María del Mar Delgado, han realizado muchos años de investigación sobre poblaciones en y alrededor del Coto Doñana en España. Otras poblaciones consideradas incluyen la pequeña, recientemente introducida, en Inglaterra. Esta es la última referencia a lo que, en muchos sentidos, es un gran superdepredador de Europa.

Preguntas sobre el producto

No hay consultas sobre ese producto

Consulta sobre el producto

Top
Menu 0,00€
Mi cesta (0 productos)